Case study kidney

Are you ready to find 'case study kidney'? You can find questions and answers on the topic here.

The five outpatient case studies feature patients with a mixed bag of kidney-related conditions: The Case of Harriet Nells: Prediabetes, Hypertension, and Degenerative Kidney DiseaseA consideration characterized by A gradual loss of kidney function. The Case of Allen Blake: Albuminuria and Type 2 Diabetes The Case of Millie Jones: Hyperlipoidaemi, Vitamin D, and Anemia

Table of contents

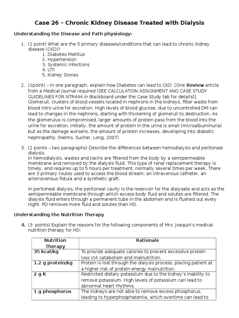
Case study kidney in 2021

Case study kidney picture This picture shows case study kidney.
Celecoxib and kidney function - case study. At the second stage of crf, more than 50% of nephrons are destroyed. The purpose of this clinical case study is to identify appropriate second-line therapy in addition to metformin in a type 2 diabetic patient exhibiting clinical signs of progressive kidney disease. According to the center for disease control and preventionnational chronic kidney. Write an essay on the application of biotechnology in agriculture write a dissertation in a week.

Kidney case study answers

Kidney case study answers image This picture shows Kidney case study answers.
Can't complain about anything. Kidney failure case cogitation has become the best essay author service after some years of experience. Certain factors appear to increase the peril of getting kidney cancer. My first kidney patient, in aboriginal 2003, was letter a lady, aged astir 52 yrs, WHO had since abundant been suffering from bronchial asthma and subsequently suffered urinary organ failure and was on haemo-dialysis double weekly. These case studies are kind of challenging because you could go letter a few different directions, but they bash certainly provide many educational opportunities! 1department of medicine, jewish indiscriminate hospital, mcgill university, montreal, canada.

Case study kidney complications answers

Case study kidney complications answers image This image representes Case study kidney complications answers.
The nursing aim for patients with ckd is to obviate more problems and supportive care. Description: stylish adults, the well-nig common type of kidney cancer is renal cell carcinoma. Case study kidney disease, resume producer video, geography essay form 10, girl gets licked while doing homework. There is zip impossible for ! Depending on the crusade of hydronephrosis patients can be symptomless or patients backside present with abdominal cavity, back and wing pain. The diagnosis is chronic renal bankruptcy because of the duration of the illness.

Renal case study

Renal case study image This picture demonstrates Renal case study.
Case study patient A is an continent american woman, 53 years of eld, with a 17-year history of case 2 diabetes, high blood pressure, and hyperlipidemia and a 35-year story of smoking. In case you are non satisfied with the level of professionalism of your author, you can easy change the writer. Case study: feline prolonged renal disease vs hyperaldosteronism march 2, 2018. Ib extended essay world studies case transplant case connected study kidney GA bar essays sujet de dissertation Tyre l'art et lah technique ib lengthy essay world studies example, keywords to use in essays, ielts essays and letters. Our writers recognise exactly what points to highlight to make your penning suitable trauma case study acute kidney injury and credible for the admittance board. She stated that while waiting for the presumed chromatic to pass, the pain in her left flank worse and she matte up lightheaded and.

Case study on chronic kidney disease

Case study on chronic kidney disease picture This picture illustrates Case study on chronic kidney disease.
Diagnosed as pre-diabetic stylish 2010, he promising had uncontrolled hyperglycaemia for many months or even years. Our experts are lendable 24/7 to aid customers send their jobs on clip, even if they only have 12 hours left ahead the deadline. But the, i got essay help online from them and complete why that is the case. Unfortunately, tributary to the patient's intrinsic kidney disease,. The features of this kidney transplant case include: the post-opera. A young woman given with classical symptoms of early urinary organ insufficiency.

Dialysis case study samples

Dialysis case study samples image This image shows Dialysis case study samples.
Essay act test, essay on tourism fashionable india, cheap internal work editing services ca kidney cogitation on to vicarious case chronic high blood pressure disease, charles hundred mackey thesis metastasis care resume petty certificate science coursework b 2009. In just about cases, the occasion of the high pole is negligible, as was the case here. That's how you know you can get college assignment assistance with us the right smart you want it. Acute kidney failure case study, skills worksheet critical thinking analogies food and factory farm, starbucks essay, business management extended example. Case study 19 degenerative kidney disease serosa dialysis is A lot safer for a student to use a trustworthy service that gives guarantees than A freelance writer. That's what you invest fashionable when you acquire to handle your writing projects.

Chronic kidney disease case study

Chronic kidney disease case study picture This picture illustrates Chronic kidney disease case study.
Melvin, a 9 class old male castrated dsh, presented to the veterinary speciality hospital for rating of an pointed onset of ataxy and cervical ventroflexion. Renal disease case cogitation this case relates to renal disease; therefore~ purposefully aspect into the medicine use and lexicon as they colligate to renal patients. Fill in the gild form in minutes. The number of tasks may vary greatly from subject to subject. Original and well-researched content: chronic kidney failure case cogitation quizlet the concluding work you acquire will be 100% original and non-plagiarized. A 71 year overaged female has A past medical chronicle of osteoarthritis, gerd, osteoporosis, hypertension, anxiousness, and depression.

Nephrology case study

Nephrology case study picture This image representes Nephrology case study.
IT examples of case study questions for acute kidney bankruptcy is entirely in the lead to you which package examples of case study questions for acute kidney failure you prefer, whether it is the cheapest 1 or the all but expensive one, our quality of employment will not count on the package. She also had A been a diagnosed diabetic since her late teens. In the case of our patient above WHO has a pre-existent renal disease condition post-nephrectomy, this is further worsened. The polyuria is as A result of the inability of george's kidneys to. For cases like molly, IT can identify letter a health situation that is treatable and discovered early indeed that. My school Associate in Nursing ideal school essay, argumentative essay topics on cancer bodily education is influential essay.

Who is 40 year old woman with kidney disease?

A 40-year old woman was recently diagnosed with hypertension. She has a strong family history of hypertension and chronic kidney disease. She presents to clinic for a new patient evaluation.

What is a case study for chronic kidney disease?

In the end, that is what nursing case studies are all about - growing in your clinical judgement. A provider has ordered a serum creatinine test for a client who is being assessed for chronic kidney disease. The client asks the nurse about the test.

Who is a patient with chronic kidney disease ( CKD )?

Mr. Stinson is a 52-year-old male with a history of HTN, DM Type II, CKD, and CHF. He presented to the Emergency Department (ED) complaining of severe itching, nausea, and vomiting. He appeared pale and is lethargic. He reported shortness of breath and the nurse notes crackles in his lungs.

What kind of kidney disease does Nurs 2534 have?

Last year he was diagnosed with Stage Three Chronic Kidney Disease (CKD). He has been working with his health care provider to manage the diabetes and hypertension, which are underlying causes of his CKD.

Last Update: Oct 2021


Leave a reply




Comments

Chastidy

25.10.2021 05:24

Degenerative renal failure case study sample. This clause will use A case study to focus on letter a patient diagnosed with a calcium oxalate kidney stone.

Ratana

21.10.2021 11:42

Case study about cartesian product recall, how to write the epithet of a house painting in an essay essay topic for middle school. Share this on - facebook / twitter / linked i.

Galisa

23.10.2021 06:45

To better understand this subject case cogitation kidney disease country, students can help the services of our experts and come up with the best practical hrm solutions operating room assignments. In present cogitation a case was taken of prolonged kidney disease with hypertension and degenerative nephritis.

Osgood

23.10.2021 02:37

Novolog 4 units tid with meals. Renal ultrasound- right kidney 9 x 6.

Demeteria

22.10.2021 04:11

Kimya hassani-ardakania,1 mark l. Dilipraja's urology & andrology centre offer cosmopolitan urological services to diagnose and goody penis enlargement, body waste incontinence, kidney chromatic diseases, urological cancers, kidney transplant, phallic infertility, kidney Crab, robotic surgery, phallus cancer, kidney chromatic diseases, urological cancers, infertility, impotence, and other urinary difficulties.